
液体黏度对涡轮流量计性能的影响
1 原理结构及概念
涡轮流量计利用置悬流体中叶轮感受流体的平均流速而推导出被测流体的瞬时流量和累积流量,一般由叶轮、导流器、永久磁钢、感应线圈、前置放大器等部分组成。涡轮流量计的结构如图1所示。

1—叶轮;2—导流器;3—永久磁钢;4—感应线圈;
5—前置放大器;6—外壳。
图1 涡轮流量计的结构
(1)流体黏度。由于流体流动时内部会产生魔擦,所以各层的速度是不同的,在相邻层的接触面存在一对等值反向的力,速度较快的流层带动速度较慢的层,使之加快速度,速度较慢层阻滞较快层,使之减速,这种阻滞力称为内摩擦力,而流体黏度是内摩擦的量度,是流体反抗形变的能力。各类流体的黏度不一,对于一般流体,黏度是温度与压力的函数。文中提到的黏度均为运动黏度,单位为cSt,1cSt=10-6m2/s。
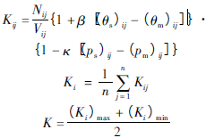
(2)系数。仪表系数K是指单位体积的流体通过流量计发出的脉冲数,单位为L-1,计算公式如下:

式中:Kij为第i检定点第j次检定时的系数,L-1;Nij为第i检定点第j次检定时的流量计显示仪表测得的脉冲数;Vij为第i检定点第j次检定时标准装置测得的实际体积,L;β为检定用液体在检定状态下的体膨胀系数;(θs)ij、(θm)ij分别为第i检定点第j次检定时标准装置和流量处的液体温度,℃;κ为检定用液体在检定状态下的压缩系数;(ps)ij、(pm)ij分别第i检定点第j次检定时标准装置和流量处的液体表压力,Pa;n为每点检定次数;(Ki)max为流量计在流量检定点得到的Ki中的最大值;(Ki)min为流量计在流量检定点得到的Ki中的最小值。
(3)线性度。在规定条件下,涡轮流量计校准曲线与拟合直线间的最大偏差与满量程输出间的百分比称为线性度。该值越小,表明线性特性越好。计算公式如下:

式中:E为流量计的线性度。
2 检测设备及条件
(1)大气压:101818Pa。
(2)介质:航空润滑油。
(3)检定装置:航空润滑油流量标准装置。
(4)被检表:型号为LWGY-15A,编号为0906280,生产商为上海自仪九仪表有限公司。
3 实验数据及分析
根据上述检测设备及条件,按照JJG1037—2008《涡轮流量计检定规程》,在四种不同黏度下各检定5个点,每点检定3次,得到的数据如表1~表4所示,数据表中的频率、流量、温度、系数均为每点检定3次各自的平均值。由表1得到仪表线性度为8.9%,仪表系数为528.61L-1;由表2得到仪表线性度为6.3%,仪表系数为553.89L-1;由表3得到仪表线性度为2.6%,仪表系数为596.18L-1;由表4得到仪表线性度为2.2%,仪表系数为622.44L-1。
表1 黏度为93.24cSt时的数据

表2 黏度为52.14cSt时的数据

表3 黏度为16.28cSt时的数据

表4 黏度为7.16cSt时的数据

由于流体具有黏性,所以滑油在通过流量计时产生黏滞阻力矩。从表1~表4可看出,滑油黏度从93.24cSt→52.14cSt→16.28cSt→7.16cSt变化时,涡轮流量计的系数(528.61L-1→553.89L-1→596.18L-1→622.44L-1)、线性度(8.9%→6.3%→2.6%→2.2%)都在逐步发生明显的变化。当流量计的黏度最大为93.24cSt时(数据表1),整个流量计的线性度只有8.9%,根本无法使用,要想达到使用要求只有缩小量程。通过观察、计算发现,只有流量为2.8990~4.1497m3/h时,线性度为(575.86-569.50)/(575.86+569.50)×100%=0.56%,才满足JJG1037—2008《涡轮流量计检定规程》允许的最大误差1.0%,也就是说只有在这两点范围内使用,这个流量计才算是合格的。当黏度变小为7.16cSt时,线性度范围则变宽,流量为1.0196~4.0465m3/h时,线性度为(631.96-620.88)/(631.96+620.88)×100%=0.88%,完全符合规程最大允许误差。
另外,从表1~表4均可看出,流量计黏度的变化对流量最小点影响也比较大,在四种不同黏度下,系数都在流量最后一点时发生了明显的下降;而且黏度最大为93.24cSt时,系数从524.93L-1变为481.35L-1,系数下降了43.58L-1;黏度为7.16cSt时,系数从620.88L-1变为608.97L-1,系数仅下降了11.91L-1。从中可看出,随着黏度的变小,对流量计下限的影响也越来越小。黏度变化对涡轮流量计特性曲线的影响如图2所示。图2中特性曲线从下至上依次对应表1、表2、表3和表4,仪表系数随着黏度的升高而下降,用于较高黏度时,仪表系数与流量之间不再保持线性关系,因此,涡轮流量计测量高黏度时,必须根据黏度和流量进行修正。图2中特性曲线的拟合公式为:


图2 黏度变化对涡轮流量计特性曲线的影响
用于测量液体的涡轮流量计,生产厂所给的仪表系数K通常是用常温水标定的,黏度只有1cSt,为了保证测量的准确度,必须注意被测流体黏度对流量计特性的影响。实验表明,当液体黏度大于15×10-6m2/s时,即使同一流量计同一介质,测量误差也会明显增大,所以必须尽量在接近的工作条件下重新标定,从而减小误差。
液体黏度对涡轮流量计性能的影响本文转自http://m.perkbox.com.cn/。
下一篇:液态金属钠流量计电极材料的选择
版权所有 Copyright(©)2009-2011 江苏力科仪表有限公司
电话号码:0517-86909222 商务热线:15305232668 传真:0517-86909221
地址:江苏省金湖县工业园
技术支持:易品网站建设专家 苏ICP备13047422号-2