
蒸汽流量计的测量原理与计算公式
蒸汽流量计原理和选择方发,漩涡流量计只能单向测量,安置时过细包管介质流量偏向与流量计箭头所示偏向一。漩涡流量计最佳安置要领为竖直安置,介质自下而上议决流计。即将流量计安置在竖直管道上,流量偏向为自下向上。水宁静装时,必须将流量计装在整个体系的高压区,并包管相应的出口压力;不要安置在管路的最高点,因最高点每每气体积累,管道非满,出口不行直接放空。测高温流体时,只管即便接纳竖直安置要领;若不得不水宁静装,请将流量计的变送器部门竖直向下,或水平侧装,克制温度过高;过细安置位置处氛围流动或通风良好。直管段要求:至少包管流量计前15倍管径,流量计后5倍管径。如流量计前有弯头,缩进,扩大等滋扰源,则需包管流量计前30–40倍的管径。
(1)流量计本体最好选区用316不锈钢资料以防腐,如是防爆区还必需是防爆结果。
(2)轴承浅近有炭化钨,聚四氟乙烯,碳石墨三种规格:碳化钨的精度最高,它作为工业控制的范例件;聚四氟乙烯,碳石墨能防腐,浅近在化工厂所优先思考。轴承的寿命流速的平方成正反比,故流速最好的在最大流速的1/3速度比拟好。
(3)感到探头是检测篡改体的活动并把它转化孔板流量计为脉冲数字电旌旗暗号,它电磁线圈电压输出值靠近正弦曲线,脉冲旌旗暗号的频率范围随测量的流量巨细成线性篡改,典范的范围为10:1,25:1 和100:1三种规格。电磁线圈的电阻浅近小于2000Ω,大于该值可以破坏。
在蒸汽流量计量中,最常用的流量计是差压式流量计和涡街流量计。
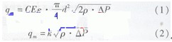
差压式流量计的理论依据是伯努利方程和流动连续性方程。当流体流经节流装置,使部分压力能转换为动能,产生差压信号,而这一差压与流量的平方成正比,其数学模型为:

式中:qm为蒸汽质量流量,T/h; C为流出系数;ε为可膨胀性系数;d为节流件孔径,m; ρ为节流件蒸汽密度,kg/m3;△P为节流件上下游差压,Pa;E为渐近速度系数。
涡街流量计的理论依据是流体振荡原理。流体在管道中经过涡街流量变送器时,在三角柱的旋涡发生体后上下交替,产生正比于流速的两列旋涡,旋涡的释放频率与流过旋涡发生体的流体平均速度及旋涡发生体特征宽度有关,可用以下公式表示:
式中:f为旋涡的释放频率,Hz;k为流量系数,l/L; ρ为蒸汽密度,kg/m3;ν为流过旋涡发生体的流体平均速度,m/s; d为旋涡发生体特征宽度,m;St为斯特罗哈数,无量纲,当雷诺数Re在102~105范围内,St值约为0.2。
从式(2)和式(4)可以看出,蒸汽质量流量与蒸汽密度直接相关。因此,必须对流量计进行温度(Pt100铂电阻)或者压力(压力变送器)补偿,可显示饱和蒸汽的瞬时质量流量、累计流量以及温度、压力。Pt100铂电阻测量得到的介质温度信号和压力变送器测量得到的介质压力信号作为密度补偿信号,涡街流量计对蒸汽流量进行密度修正。对饱和蒸汽,蒸汽密度ρ只与压力P有关,即ρ=ρ(p);而对于过热蒸汽,蒸汽密度ρ与压力P的关系和温度T有关,即ρ=ρ(p,T)。
在现代化生产过程中我们常?;嵊龅叫枰怨日羝⒈ズ驼羝髁拷胁饬?,那么在选择使用什么样的流量计时,我们就会根据测量的流量大小、测量蒸汽的温度、压力,从而在客户给的技术参数中计算出其需要配置何等的蒸汽流量表。那么有时候客户要通过流量范围让我们生产厂家分析其产品的口径时,那么我们就要根据实际流量,查阅流量表来给客户选择合适的口径,以达到测量的准确度。
在选择正确的蒸汽流量计时,同时也要抱有对客户负责的原则,无论客户的什么工况条件我们都必须认真的面对每一个环节,比如正确的流量大小、测量温度压力等,让客户感觉到我们是一个可以相信的厂家,那么蒸汽流量的计算公式是什么呢?
蒸汽流量计的理论流量方程为:

式中,qf为工况下的体积流量,m3/s;D为表体通径,mm;M为旋涡发生体两侧弓形面积与管道横截面积之比;d为旋涡发生体迎流面宽度,mm;f为旋涡的发生频率,Hz;Sr为斯特劳哈尔数,无量纲。涡街式蒸汽流量计计的六个主要特点如下:
1、涡街式蒸汽流量计计的流量范围度大、最小流量值低、不需要现场调试。
2、具有完整的通径系统,共有20个不同通径的传感器。
3、涡街式蒸汽流量计计结构简单,无运动可磨损部件,使用寿命长。
4、涡街式蒸汽流量计计测量精度高,生产阻力损失小。
5、涡街式蒸汽流量计计安装方便,维修量小。
6、可实现远距离传输流量信号,可进行集中管理。
本文来源:http://m.perkbox.com.cn/,如有疑问请拨打我们的24小时服务热线0517-86909222.
上一篇:大口径热量表标准装置比对
下一篇:超声波流量计的测量原理与计算公式
版权所有 Copyright(©)2009-2011 江苏力科仪表有限公司
电话号码:0517-86909222 商务热线:15305232668 传真:0517-86909221
地址:江苏省金湖县工业园
技术支持:易品网站建设专家 苏ICP备13047422号-2