
旋进旋涡流量计测量原理与计算公式
旋进旋涡气体流量计的测量原理,流体进入流量计时,先被起旋器导流后发生螺旋流动,在收缩段,由导流叶片提供的角动能被保存,并使角速度增加形成如图所示的螺旋流,检出元件处的螺旋流频率与流体流量成正比。然后,流体进入扩散段,并围绕轴向的返流,最后经消旋器消除旋涡并流出??梢钥吹剑捎谄鹦饕氲慕撬俣?,使流体经起旋器后的流速从u增加到uA,中心旋涡速度UTI,管壁为UT2。在扩散段,出现返流,流体从管轴中心返流到管壁,流速下降到零,而压力p2增大到最大。

受周围约束,旋流通过截面积扩大的管段时,产生旋涡旋进流动,即旋涡中心轴作进动,进动频率与流体流速成正比。因此根据进动频率确定流体流量。
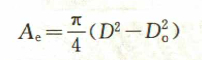
返流的流体需再转换为向前的流动,从而使流量通过的流通面积减小。流通有效面积Ae是测量面喷嘴直径D与返流无效面直径D。的函数,即:

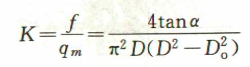
测量面角速度为w=2πf=utana/R。式中,u是测量面轴向流体流速;a是旋涡发生体的叶片夹角;R是测量面喷嘴半径,R=D/2;f是频率;w是角速度。因此,仪表系数K可表示为:

可见,旋进旋涡气体流量计仪表系数与叶片夹角a的正切成正比,与有效流通面积Ae和测量面喷嘴直径D成反比。随流体流量变化,有效流通面积变化,因此,一定测量范围内仪表系数可稳定在某值。
对液体流体,其测量范围从0.2~2m3/h,直到180-1800m3/h.对气体流体,其测量范围从5~25m3/h,直到1000~20000m3/h。液体的测量范围度约为30:1,气体的测量范围度在5:1到20:1。
液体流体测量的频率范围从100Hz(DN20)到13Hz(DN400);气体流体测量的频率范围从1200Hz(DN20)到150Hz(DN400)。仪表精度±0.5%。液体流体流速最大6m/s,气体流体流速可达50m/s。
对液体流量测量,应防止产生气穴(空化)。最大流量时,流量计下游最低工作压力计算如下:
p=(2.6-2.7)△p+1.3p。
式中,△p是压力损失,KPa;p。是工作温度下被测液体绝对饱和蒸汽压,kPa。
三、结构
流量计由传感器和转换显示仪组成。
1、传感器包括旋涡发生器、检测元件、整流器和壳体。
旋涡发生器由特定螺旋形叶片组成,它固定在壳体收缩段前端,强迫流体产生强烈的旋涡流。
检测元件安装在靠近扩张管的喉部,用热敏、压电、应变、电容或光纤等检测元件可测出旋涡进动的频率信号。
整流器固定在流量计表体出口,其作用是消除旋涡流,以减小下游流态对仪表测量的影响。
壳体设计成一定形状的流道,使旋涡形成,固定和保护安装在内部的零部件,并通过法兰与管道相连接。
2、转换显示仪
由压电传感器检测到的微弱电压信号经过放大、滤波、整形后,变成频率与流量成正比的脉冲信号,然后由显示仪计数显示。显示仪配有外输接口,输出各种信号。对测量的气体介质可进行温度和压力的补偿,转换为标准状况下的体积流量,并显示。
上一篇:蒸汽流量计密度补偿计算公式
下一篇:涡街流量计的用途与计算公式
版权所有 Copyright(©)2009-2011 江苏力科仪表有限公司
电话号码:0517-86909222 商务热线:15305232668 传真:0517-86909221
地址:江苏省金湖县工业园
技术支持:易品网站建设专家 苏ICP备13047422号-2