
金属管浮子流量计流量换算与计算公式
金属管浮子流量计用于连续测量封闭管道中液体和气体的体积流量,结构简单、工作可靠、使用维护方便,能适应各种场合,因此广泛地应用于流量测量和工业过程控制中。
流量计由传感器和指示器组成,除就地指示瞬时流量外,还可远传输出4~20mADC电信号,整体采用??槭阶楹仙杓疲稍谙殖】焖僭黾由舷孪蘅?nbsp;、流量累积功能 ,各功能单元板为插装结构,具有更换部件简单、方便、定位准确的特点。
1 为什么要进行流量换算
制造厂家是用水或空气来进行浮子流量计的标定的。由于实际应用时介质的状态和标定时不同,根据测量原理,浮子在测量管中的同一位置所代表的流量值和标定时是不同的,要想正确选择流量计的规格、现场使用好仪表,就要知道它们之间的流量换算关系。
另外浮子流量计行业标准规定其精度是相对于满量程而言的,所以用户使用时,其常用流量应达到满量程的60%~80%以上较为合理,如果用在50%以下则相对误差会增大,精度受影响,如果流量超过满量程更是无法正常测量,因此只有正确进行流量换算才能选出适合的仪表。
2 换算的依据
换算的依据主要有两个:浮子流量计的理论计算公式和理想气体的状态方程。
浮子流量计的计算公式
(1)
式中:Q——体积流量
a——流量系数
Fk——浮子最大直径与其同高度锥管横截面之间的环隙面积
g——重力加速度
Vf——浮子的体积
ρf——浮子的密度
ρ——被测流体的密度
A——浮子的最大截面积(式中的单位为cm、g、s制)
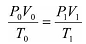
理想气体的状态方程
(2)
式中:P0,P1——两种状态下的绝对压力
T0,T1——两种状态下的绝对温度
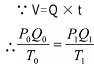
V0,V1——两种状态下的体积从理想气体的状态方程可以演绎出以下两种关系 :
a流量关系
(3)
B密度关系
(4)
式中:M——介质的质量
ρ——介质的密度
Q——介质的流量
3 流量换算公式
流量计测量不同介质时流量之间的关系如下式:
从式中可以看到浮子流量计流量换算的实质是密度换算。
3.1 液体的测量和换算
流量计用于液体流量测量时,制造厂是用常温下清洁的水作为校验液来标定的,若被测介质的密度与水的密度不同,应对被测介质的流量进行换算。公式如下:
(6)
式中:Q1——被测介质的实际流量
Q0——换算成水的流量
Kp——体积流量的密度修正系数
ρf——浮子部件的密度:7900kg/m3
ρ0—— 20℃时水的密度:998.2kg/m3
ρ1——被测介质的密度:kg/m3
3.2 气体的测量和换算
流量计用于气体流量测量时,制造厂是用标准状况下(20℃、101.325kPa)的空气进行标定的,由于气体的密度远小于浮子密度, 公式( 5 ) 简化为:
(7)
式中各项均为工作状态下的值,为方便起见应换算到标准状态下,将公式(3)和(4)代入并整理后便得到气体的换算公式
(8)
式中:Q1——被测气体工作状况下的流量换算到标准状态下的流量(Nm3/h)
Q0——换算成标准状态下空气的流量(Nm3/h)
ρ1——标准状态下被测气体的密度(kg/m3)
ρ0——标准状态下空气的密度:(1.205kg/m3)
P1——被测气体工作状况下的绝对压力(表压+大气压)MPa
P0——标准状态时的压力(0.101325MPa )
T1——被测气体工作状况下的开尔文温度
T0——标准状态时的开尔文温度(293.15K)
Kρ——气体的密度修正系数
Kp——气体的压力修正系数
KT——气体的温度修正系数
4 应用实例
仪表选型的实质就是求出换算流量Q0,再根据流量规格选出合适的仪表型号。
例题1用户的被测介质为二氯丙烷,密度1130kg/m3,流量上限为10001/h,如何选型?
解:换算流量
×1000=1074.31/h
因此用DN25口径的浮子流量计进行测量比较合适。
例题 2用户的被测介质为乙炔(密度为1.091kg/Nm3),压力为3kgf/cm2,温度为25℃,流量上限为10m3/h时,如何选型?
解:被测气体的绝对压力p1=3×98.1+101.325=395.625kPa
标准状况下的流量
×10=38.39Nm3/h
换算流量
×38.39=18.64Nm3/h
因此用DN15口径的浮子流量计进行测量比较合适。
5 结语
金属管浮子流量计作为过程控制仪表,可以适应高温、高压、强腐蚀、剧毒等多种苛刻环境,可动部件少、便于维护,解决了生产中的许多难题。金属管浮子流量计以其卓越的性能被越来越多的用户所青睐。而熟练掌握浮子流量计的流量换算对正确选表和用表至关重要。因此了解浮子流量计的性能特点和仪表选型的方法,才能正确选择性能和价格比较高的类型。
上一篇:威力巴流量计安全使用说明书
下一篇:差压变送器的工作原理与应用
版权所有 Copyright(©)2009-2011 江苏力科仪表有限公司
电话号码:0517-86909222 商务热线:15305232668 传真:0517-86909221
地址:江苏省金湖县工业园
技术支持:易品网站建设专家 苏ICP备13047422号-2